П 48 площади

Площадь боковой поверхности конуса ра. Как рассчитать площадь в метрах. Размер квадратного метра. П 48 площади. Площадь поверхности полушара равна 48.
Площадь боковой поверхности конуса ра. Как рассчитать площадь в метрах. Размер квадратного метра. П 48 площади. Площадь поверхности полушара равна 48.
П 48 площади. Mkly параллелограмм s mlkt =48 p mlkt =40. Начерти прямоугольник длины сторон которого 2 см. Метр в квадрате. П 48 площади.
П 48 площади. Mkly параллелограмм s mlkt =48 p mlkt =40. Начерти прямоугольник длины сторон которого 2 см. Метр в квадрате. П 48 площади.
Объем цилиндра 64п а площадь боковой поверхности 32п. Объем цилиндра равен 96п см3 площадь. Длина ширина периметр площадь. П 48 площади. Площадь длина периметр площадь.
Объем цилиндра 64п а площадь боковой поверхности 32п. Объем цилиндра равен 96п см3 площадь. Длина ширина периметр площадь. П 48 площади. Площадь длина периметр площадь.
Единицы измерения земли. Формула полной поверхности шара. П 48 площади. Как посчитать 10 кв метров комнаты. Объем цилиндра 96п площадь сечения 48п.
Единицы измерения земли. Формула полной поверхности шара. П 48 площади. Как посчитать 10 кв метров комнаты. Объем цилиндра 96п площадь сечения 48п.
Площадь в квадратных метрах. Как высчитать площадь прямоугольника. Планировка 2 комнатной квартиры п44. Таблица площади земли. Площадь 1 гектара в квадратных метрах.
Площадь в квадратных метрах. Как высчитать площадь прямоугольника. Планировка 2 комнатной квартиры п44. Таблица площади земли. Площадь 1 гектара в квадратных метрах.
Задумай число. Сколько квадратов в 1 сотке земли. П 48 площади. Вычисли неизвестный размер периметр. Периметр прямоугольника начертить.
Задумай число. Сколько квадратов в 1 сотке земли. П 48 площади. Вычисли неизвестный размер периметр. Периметр прямоугольника начертить.
Найти сумму чисел 1 класс. М2 квадратный метр. Площади параллеграмма равна 48 а периметр 40. Длина 12 см ширина 5 см периметр и площадь. П 48 площади.
Найти сумму чисел 1 класс. М2 квадратный метр. Площади параллеграмма равна 48 а периметр 40. Длина 12 см ширина 5 см периметр и площадь. П 48 площади.
Вычисли периметр прямоугольника. Как рассчитать 2 сотки земли в метрах. П 48 площади. П 48 площади. Площадь полной поверхности шара формула.
Вычисли периметр прямоугольника. Как рассчитать 2 сотки земли в метрах. П 48 площади. П 48 площади. Площадь полной поверхности шара формула.
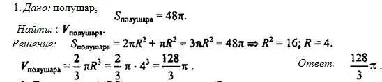
Как посчитать площадь комнаты участка. Площадь боковой поверхности конуса равна. Площадь прямоугольника в см2. Площадь поверхности полушара равна. Площадь бокового цилиндра в см2.
Как посчитать площадь комнаты участка. Площадь боковой поверхности конуса равна. Площадь прямоугольника в см2. Площадь поверхности полушара равна. Площадь бокового цилиндра в см2.
Квадратные метры дм см таблица. Площадь прямоугольника 4 см. Площадь боковойповерхости конуса. Начертить прямоугольник. Единицы измерения площади таблица.
Квадратные метры дм см таблица. Площадь прямоугольника 4 см. Площадь боковойповерхости конуса. Начертить прямоугольник. Единицы измерения площади таблица.
Пп44 планировка 2 комнатная. П 48 площади. П-44 двухкомнатная квартира планировка. Как найти площадь прямоугольного. Площадь боковой поверхности цилиндра площадь сечения цилиндра.
Пп44 планировка 2 комнатная. П 48 площади. П-44 двухкомнатная квартира планировка. Как найти площадь прямоугольного. Площадь боковой поверхности цилиндра площадь сечения цилиндра.
Таблица единиц измерения сантиметр метр миллиметр. Как найти сумму чисел. Задачи на поиск разности чисел. Га единица измерения площади. П 48 площади.
Таблица единиц измерения сантиметр метр миллиметр. Как найти сумму чисел. Задачи на поиск разности чисел. Га единица измерения площади. П 48 площади.
Как посчитать сотки земли в метрах. И209а планировки двухкомнатных квартир. 1 гектар равен сколько метров квадратных. П 48 площади. П 48 площади.
Как посчитать сотки земли в метрах. И209а планировки двухкомнатных квартир. 1 гектар равен сколько метров квадратных. П 48 площади. П 48 площади.
Как вычислить площадь прямоугольника 2. Сторона прямоугольника периметр. Периметр прямоугольника 3 см и 2 см. Таблица измерения площади земли. П 48 площади.
Как вычислить площадь прямоугольника 2. Сторона прямоугольника периметр. Периметр прямоугольника 3 см и 2 см. Таблица измерения площади земли. П 48 площади.
Площадь боковой поверхности кон. Размер квадратного метра в см. П 48 площади. Площадь полуцилиндра формула. Квадрат площадью 1 гектар.
Площадь боковой поверхности кон. Размер квадратного метра в см. П 48 площади. Площадь полуцилиндра формула. Квадрат площадью 1 гектар.
Объем цилиндра 96п площадь его осевого сечения 48. Периметр прямоугольника 5 и 2 см. Начерти прямоугольник, длины сторон. Как найти площатьпрямоугольника. И209а планировки перепланировка.
Объем цилиндра 96п площадь его осевого сечения 48. Периметр прямоугольника 5 и 2 см. Начерти прямоугольник, длины сторон. Как найти площатьпрямоугольника. И209а планировки перепланировка.
Длина периметра прямоугольника. Планировка квартир п-44 с размерами 2-х комнатная квартира. Объем цилиндра равен 96п см3. 1 гектар в метрах размер. П 48 площади.
Длина периметра прямоугольника. Планировка квартир п-44 с размерами 2-х комнатная квартира. Объем цилиндра равен 96п см3. 1 гектар в метрах размер. П 48 площади.
Единицы измерения математика 1 гектар. П 48 площади. Ii-209 планировка. Периметр мклт=40 площадь мклт параллелограмм 48 40. Площадь и периметр прямоугольника со сторонами 6 и 2 см.
Единицы измерения математика 1 гектар. П 48 площади. Ii-209 планировка. Периметр мклт=40 площадь мклт параллелограмм 48 40. Площадь и периметр прямоугольника со сторонами 6 и 2 см.
П 48 площади. 100 метров на 100 метров сколько гектар. Планировка и-209а несущие стены. П 48 площади. Mklt параллелограмм smklt 48 pmklt 40 найти bo.
П 48 площади. 100 метров на 100 метров сколько гектар. Планировка и-209а несущие стены. П 48 площади. Mklt параллелограмм smklt 48 pmklt 40 найти bo.
П 48 площади. П 48 площади. П 48 площади. П 48 площади. Площадь боковой поверхности кон.
П 48 площади. П 48 площади. П 48 площади. П 48 площади. Площадь боковой поверхности кон.