3а 2 3 выполнить действие

4/9:2. Выполните действия 2а-3/2а-в-2/в. Выполните действия 2х+1/12х2у 2-3у/18ху2. 5/с+3-5с-2/с2+3с. А 3(2)+4(2).
4/9:2. Выполните действия 2а-3/2а-в-2/в. Выполните действия 2х+1/12х2у 2-3у/18ху2. 5/с+3-5с-2/с2+3с. А 3(2)+4(2).
2. 3к ^4 +к^3√4к^2. 2+2*2. 3а 2 3 выполнить действие. 4/с2-9-2/с2+3с.
2. 3к ^4 +к^3√4к^2. 2+2*2. 3а 2 3 выполнить действие. 4/с2-9-2/с2+3с.
3а 2 3 выполнить действие. 3а 2 3 выполнить действие. Выполните действия: 3а^3(2а^2-4). 3а 2 3 выполнить действие. 2.
3а 2 3 выполнить действие. 3а 2 3 выполнить действие. Выполните действия: 3а^3(2а^2-4). 3а 2 3 выполнить действие. 2.
3а 2 3 выполнить действие. Выполните действие 3а-9/а+2 а2-9/а2-4. 3а 2 3 выполнить действие. 2а/а-5-5/а+5+2а2/25-а2. 3.
3а 2 3 выполнить действие. Выполните действие 3а-9/а+2 а2-9/а2-4. 3а 2 3 выполнить действие. 2а/а-5-5/а+5+2а2/25-а2. 3.
-2,1-3,2. Сократите дробь 3c+15/c^2-25 1. 3. (8а-3а2+1)-(а-2а2). -1 3/4-2 1/12 выполните.
-2,1-3,2. Сократите дробь 3c+15/c^2-25 1. 3. (8а-3а2+1)-(а-2а2). -1 3/4-2 1/12 выполните.
Выполнить действия со смешанными дробями. 3а 2 3 выполнить действие. 3. 2/3+1 2/3+2 2/3. 2.
Выполнить действия со смешанными дробями. 3а 2 3 выполнить действие. 3. 2/3+1 2/3+2 2/3. 2.
2. 3а 2 3 выполнить действие. -3а 2(степени 2ab-3b 2). 2a2-a/a2-a+1-2 1/a+1-a-1/a2-a+1. 3с-6/с+2-с с+2.
2. 3а 2 3 выполнить действие. -3а 2(степени 2ab-3b 2). 2a2-a/a2-a+1-2 1/a+1-a-1/a2-a+1. 3с-6/с+2-с с+2.
Сократите дробь 5с-5d c2-d2. 3а 2 3 выполнить действие. 5-2 1/2. Выполните действия: x+1 1 − 3x 2 +3x x−2. Выполнить действие (а - 3в) (а +3в).
Сократите дробь 5с-5d c2-d2. 3а 2 3 выполнить действие. 5-2 1/2. Выполните действия: x+1 1 − 3x 2 +3x x−2. Выполнить действие (а - 3в) (а +3в).
2. A/a-3-a2-2a+6/a2-3a. Выполните действие 1/а2+а-2/а. 1/2+1/3. 2,5*2,5.
2. A/a-3-a2-2a+6/a2-3a. Выполните действие 1/а2+а-2/а. 1/2+1/3. 2,5*2,5.
Выполните действие 5. 3а 2 3 выполнить действие. 3у 5 4 9-у/2. 2. 3.
Выполните действие 5. 3а 2 3 выполнить действие. 3у 5 4 9-у/2. 2. 3.
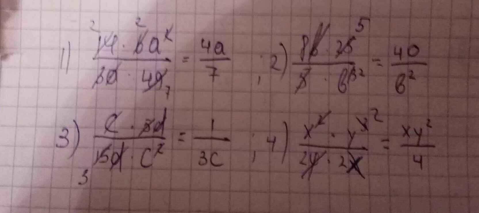
Выполните действия 2а-3/2а-в-2/в. Выполните действие 3х/х-4 -х+8/х-4. 1 2 3. (-3;2);(-3;-2);(4;2)(3;2). Выполните действия а+3/3а-3.
Выполните действия 2а-3/2а-в-2/в. Выполните действие 3х/х-4 -х+8/х-4. 1 2 3. (-3;2);(-3;-2);(4;2)(3;2). Выполните действия а+3/3а-3.
3а 2 3 выполнить действие. 3-3*6+2. Выполните действия -42a6b7/c13. 2 2 2 2=3. Выполни действия (а+б^2)(а-б^2).
3а 2 3 выполнить действие. 3-3*6+2. Выполните действия -42a6b7/c13. 2 2 2 2=3. Выполни действия (а+б^2)(а-б^2).
7a^2)^2 / 7a^5. 3. 3а 2 3 выполнить действие. 3а 2 3 выполнить действие. 3 на 3.
7a^2)^2 / 7a^5. 3. 3а 2 3 выполнить действие. 3а 2 3 выполнить действие. 3 на 3.
2 3 4 5. 3 в 5. Выполните действие 1/а2+а-2/а. 5. Выполните действие 4.
2 3 4 5. 3 в 5. Выполните действие 1/а2+а-2/а. 5. Выполните действие 4.
(2a+3)(2a-3). 3а 2 3 выполнить действие. Выполните действия 2-b/b+b-3/3b 2. 3а 2 3 выполнить действие. Выполните действия 3.
(2a+3)(2a-3). 3а 2 3 выполнить действие. Выполните действия 2-b/b+b-3/3b 2. 3а 2 3 выполнить действие. Выполните действия 3.
3а 2 3 выполнить действие. Вычислите 3 в 2 степени +4 в 2 степени. 3а 2 3 выполнить действие. 2/3+1 2/3+2 2/3. 3.
3а 2 3 выполнить действие. Вычислите 3 в 2 степени +4 в 2 степени. 3а 2 3 выполнить действие. 2/3+1 2/3+2 2/3. 3.
Сократите дробь 3c+15/c2-25. Сократите дробь 15c\25b. -2,1-3,2. Выполните действия (-2а³/б²)³. 3а 2 3 выполнить действие.
Сократите дробь 3c+15/c2-25. Сократите дробь 15c\25b. -2,1-3,2. Выполните действия (-2а³/б²)³. 3а 2 3 выполнить действие.
3. 3а 2 3 выполнить действие. Выполните действия 2a 2a-1 +1. 3/а+а-3/а+5 выполните действия. 3а2(а+3б)-2б(3а2+б2)=.
3. 3а 2 3 выполнить действие. Выполните действия 2a 2a-1 +1. 3/а+а-3/а+5 выполните действия. 3а2(а+3б)-2б(3а2+б2)=.
(√3*√2)^2-2. 1 1 2 2 2. Выполнить действие а2 * а4. Выполните действия a в 5*a в 3. Выполните действие 1 2 плюс 1 3.
(√3*√2)^2-2. 1 1 2 2 2. Выполнить действие а2 * а4. Выполните действия a в 5*a в 3. Выполните действие 1 2 плюс 1 3.
3а 2 3 выполнить действие. 2. 3а 2 3 выполнить действие. Выполните действия 2х+1/12х2у 2-3у/18ху2. 3к ^4 +к^3√4к^2.
3а 2 3 выполнить действие. 2. 3а 2 3 выполнить действие. Выполните действия 2х+1/12х2у 2-3у/18ху2. 3к ^4 +к^3√4к^2.